Упр.412 ГДЗ Дорофеев Суворова 9 класс (Алгебра)
Решение #1

Рассмотрим вариант решения задания из учебника Дорофеев, Суворова, Бунимович 9 класс, Просвещение:
412. Для заданного выражения определите:
1) существуют ли такие значения переменной, при которых значение выражения равно 0;
2) при каких значениях переменной выражение имеет смысл:
а) (y + 1/(y - 1))/(1 - 1/(y + 1));
б) (1/c + 1/(c + 1))/(1/c + 1/(c - 1));
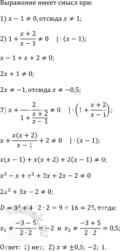
в) x/(x + 2/(1 + (x + 2)/(x - 1)));
*размещая тексты в комментариях ниже, вы автоматически соглашаетесь с пользовательским соглашением