Упр.407 ГДЗ Мерзляк 9 класс (Алгебра)
Решение #1

Рассмотрим вариант решения задания из учебника Мерзляк, Полонская, Якир 9 класс, Вентана-Граф:
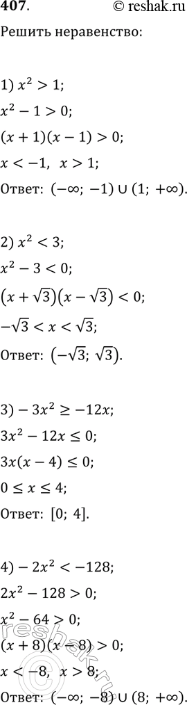
407. Найдите множество решений неравенства:
1) х^2 > 1;
2) х^2 < 3;
3) -Зх^2 >= -12х;
4) -2х^2 < -128.
*размещая тексты в комментариях ниже, вы автоматически соглашаетесь с пользовательским соглашением