Упр.4.31 ГДЗ Никольский Потапов 11 класс (Алгебра)
Решение #1

Рассмотрим вариант решения задания из учебника Никольский, Потапов 11 класс, Просвещение:
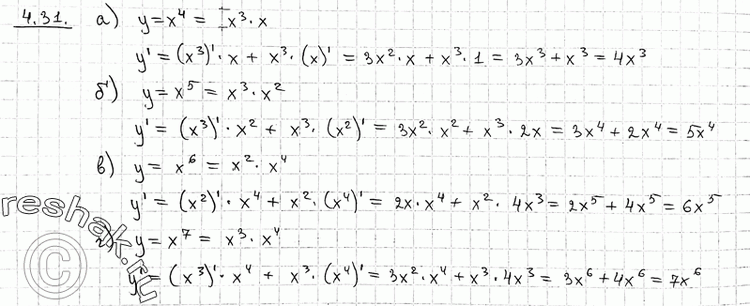
4.31 а) у = x4; б) у = x5; в) у = x6; г) y = x7.
Указание. Представьте данную функцию в виде произведения двух функций.
Например, (x4)' = (х3 * х)' = (x3)' * x + x3 * (x)' = 3х2 * х + x3 * 1 = 4x3.
*размещая тексты в комментариях ниже, вы автоматически соглашаетесь с пользовательским соглашением