Упр.394 ГДЗ Мерзляк Полонский 7 класс (Алгебра)
Решение #1
Решение #2

Рассмотрим вариант решения задания из учебника Мерзляк, Полонская, Якир 7 класс, Вентана-Граф:
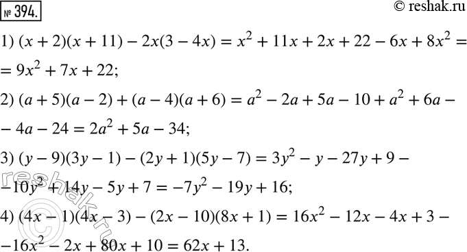
394. Упростите выражение:
1) (х + 2)(х+ 11) -2х(3-4х);
2) (а + 5)(а - 2) + (а - 4)(а + 6);
3) (у - 9)(3у - 1) - (2у + 1)(5у - 7);
4) (4х- 1)(4г - 3) - (2х- 10)(8х + 1).
*размещая тексты в комментариях ниже, вы автоматически соглашаетесь с пользовательским соглашением