Упр.377 ГДЗ Мерзляк 9 класс (Алгебра)
Решение #1
Решение #2

Рассмотрим вариант решения задания из учебника Мерзляк, Полонская, Якир 9 класс, Вентана-Граф:
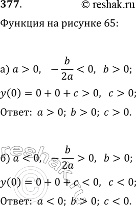
377. На рисунке 65 изображён график квадратичной функции у = ах^2 + bх + с. Определите знаки коэффициентов a, b и с.
*размещая тексты в комментариях ниже, вы автоматически соглашаетесь с пользовательским соглашением