Упр.373 ГДЗ Никольский Потапов 9 класс (Алгебра)

Решение #1

Изображение Запишите в виде корней (373—374):373.а) a^(1/2)a^(1/3)b^(1/4)(ac)^(1/7)б) (x+1)^(1/2) (a-b)^(7/4)  (m+3)^(1/4)в) 3^(2/3)4^(3/5)6^(2/3)7^(5/9)г)...

Решение #2

Изображение Запишите в виде корней (373—374):373.а) a^(1/2)a^(1/3)b^(1/4)(ac)^(1/7)б) (x+1)^(1/2) (a-b)^(7/4)  (m+3)^(1/4)в) 3^(2/3)4^(3/5)6^(2/3)7^(5/9)г)...

Рассмотрим вариант решения задания из учебника Никольский, Потапов 9 класс, Просвещение:
Запишите в виде корней (373—374):
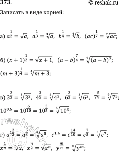
373.
а) a^(1/2)
a^(1/3)
b^(1/4)
(ac)^(1/7)
б) (x+1)^(1/2)
(a-b)^(7/4)
(m+3)^(1/4)
в) 3^(2/3)
4^(3/5)
6^(2/3)
7^(5/9)
г) a^(1 2/3)
c^1,4
x^(1/n)
x^(n/2)
y^(m/n)
*Цитирирование задания со ссылкой на учебник производится исключительно в учебных целях для лучшего понимания разбора решения задания.
*размещая тексты в комментариях ниже, вы автоматически соглашаетесь с пользовательским соглашением