Упр.342 ГДЗ Дорофеев Суворова 8 класс (Алгебра)
Решение #1

Рассмотрим вариант решения задания из учебника Дорофеев, Суворова, Бунимович 8 класс, Просвещение:
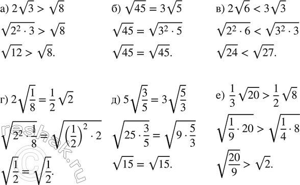
342. Сравните значения выражений:
а) 2v3 и v8;
б) v45 и 3v5;
в) 2v6 и 3v3;
г) 2v(1/8) и 1/2 v2;
д) 5v(3/5) и 3v(5/3);
е) 1/3 v20 и 1/2 v8.
*размещая тексты в комментариях ниже, вы автоматически соглашаетесь с пользовательским соглашением