Упр.337 ГДЗ Мерзляк 8 класс (Алгебра)
Решение #1
Решение #2
Решение #3

Рассмотрим вариант решения задания из учебника Мерзляк, Полонская, Якир 8 класс, Вентана-Граф:
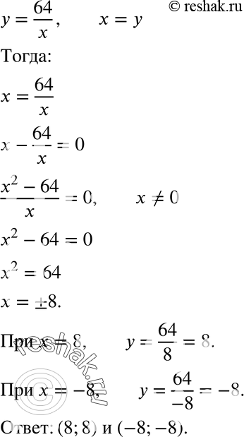
337. Найдите координаты всех точек графика функции у = 64/x, у которых абсцисса и ордината равны.
*размещая тексты в комментариях ниже, вы автоматически соглашаетесь с пользовательским соглашением