Упр.320 ГДЗ Макарычев Миндюк 9 класс (Углубленный) (Алгебра)
Решение #1

Рассмотрим вариант решения задания из учебника Макарычев, Миндюк, Нешков 9 класс, Просвещение:
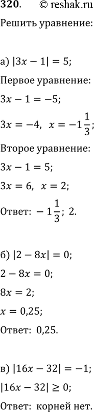
320. Найдите множество решений уравнения:
а) |3x-1|=5; б) |2-8x|=0; в) |16x-32|=-1.
*размещая тексты в комментариях ниже, вы автоматически соглашаетесь с пользовательским соглашением