Упр.319 ГДЗ Никольский Потапов 7 класс (Алгебра)
Решение #1

Рассмотрим вариант решения задания из учебника Никольский, Потапов 7 класс, Просвещение:
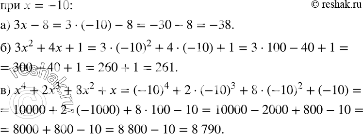
319. Вычислите значение целого выражения:
а) Зx - 8; б) Зх2 + 4х + 1; в) х4 + 2х3 + 8х2 + х при х = -10.
Например, если х = -2, то 2x2 — 7х + 5 = 2 * (-2)2 — 7 * (-2) + 5 = = 2- 4 + 7 * 2 + 5 = 8 + 14 + 5 = 27.
*размещая тексты в комментариях ниже, вы автоматически соглашаетесь с пользовательским соглашением