Упр.306 ГДЗ Никольский Потапов 9 класс (Алгебра)

Решение #1

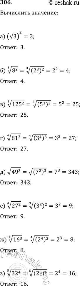
Изображение Вычислите (306-308)306.а) (v3)^2;б) корень третьей степени из 8^2;в) корень третьей степени из 125^2;г) корень четвертой степени из 81^3;д) (v49)^3;е)...

Решение #2

Изображение Вычислите (306-308)306.а) (v3)^2;б) корень третьей степени из 8^2;в) корень третьей степени из 125^2;г) корень четвертой степени из 81^3;д) (v49)^3;е)...

Рассмотрим вариант решения задания из учебника Никольский, Потапов 9 класс, Просвещение:
Вычислите (306-308)
306.
а) (v3)^2;
б) корень третьей степени из 8^2;
в) корень третьей степени из 125^2;
г) корень четвертой степени из 81^3;
д) (v49)^3;
е) корень третьей степени из 27^2;
ж) корень четвертой степени из 16^3;
з) корень пятой степени из 32^4.
*Цитирирование задания со ссылкой на учебник производится исключительно в учебных целях для лучшего понимания разбора решения задания.
*размещая тексты в комментариях ниже, вы автоматически соглашаетесь с пользовательским соглашением