Упр.3 ГДЗ Колягин Ткачёва 10 класс (Алгебра)
Решение #1
Решение #2

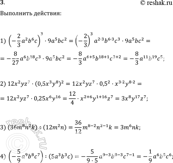
Рассмотрим вариант решения задания из учебника Колягин, Ткачёва, Фёдорова 10 класс, Просвещение:
Выполнить действия:
1) (-2/3*a2b6c)3 * 9a5bc2;
2) (36m8n2k) : (12m2n);
3) 12x2yz7 (0,5x3y8)2;
4) (-5/9*a9b8c7) : (5a3b3c).
*размещая тексты в комментариях ниже, вы автоматически соглашаетесь с пользовательским соглашением