Упр.297 ГДЗ Мерзляк Полонский 7 класс (Алгебра)
Решение #1
Решение #2

Рассмотрим вариант решения задания из учебника Мерзляк, Полонская, Якир 7 класс, Вентана-Граф:
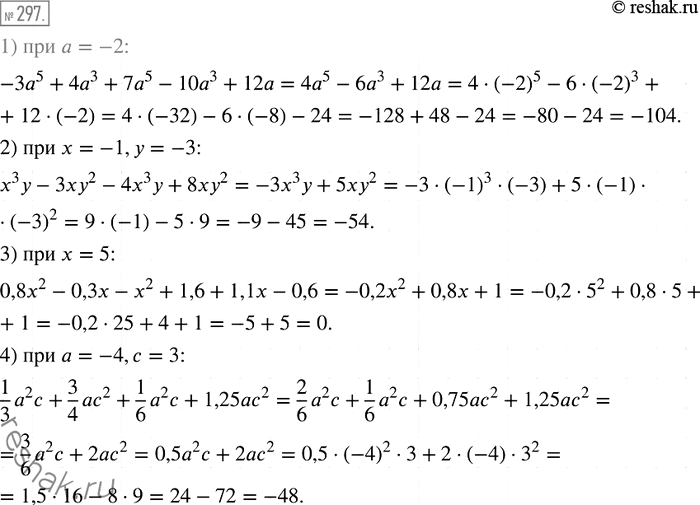
297. Приведите подобные члены и найдите значение многочлена при указанных значениях переменных:
1) -3а5 + 4а3 + 7а5 - 10а3 + 12а, если а = -2;
2) x3y - 3ху2 - 4x3y + 8ху2, если х = -1, у = -3;
3) 0,8x2 - 0,3х - х2 + 1,6 + 1,1х - 0,6, если х = 5;
4) 1/3*а2с + 3/4*ас2 + 1/6*а2с + 1,25ас2, если а = - 4, с = 3.
*размещая тексты в комментариях ниже, вы автоматически соглашаетесь с пользовательским соглашением