Упр.274 ГДЗ Никольский Потапов 7 класс (Алгебра)
Решение #1

Рассмотрим вариант решения задания из учебника Никольский, Потапов 7 класс, Просвещение:
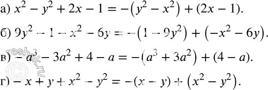
274. Заключите первые два члена многочлена в скобки со знаком минус перед ними, а последние — в скобки со знаком плюс перед ними:
а) х2 - у2 + 2х - 1;
б) 9y2 - 1 - х2 - 6у;
в) -а3 - За2 + 4 - а;
г) —х + у + х2 - у2.
*размещая тексты в комментариях ниже, вы автоматически соглашаетесь с пользовательским соглашением