Упр.268 ГДЗ Мерзляк 8 класс (Алгебра)
Решение #1
Решение #2
Решение #3

Рассмотрим вариант решения задания из учебника Мерзляк, Полонская, Якир 8 класс, Вентана-Граф:
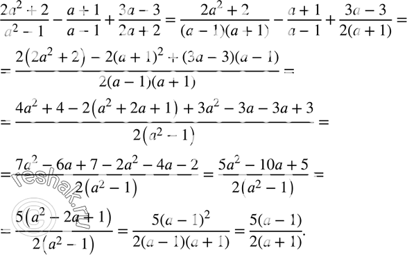
268. Упростите выражение:
(2a2+2)/(a2-1) - (a+1)/(a-1) + (3a-3)/(2a+2).
*размещая тексты в комментариях ниже, вы автоматически соглашаетесь с пользовательским соглашением