Упр.25 ГДЗ Мерзляк 8 класс (Алгебра)
Решение #1
Решение #2
Решение #3

Рассмотрим вариант решения задания из учебника Мерзляк, Полонская, Якир 8 класс, Вентана-Граф:
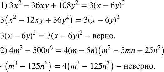
25. Какое из равенств является тождеством:
1) 3х2 - 36ху + 108у2 = 3(х - 6у)2;
2) 4m3 - 500n6 = 4(m - 5n)(m2 - 5mn + 25n2)?
*размещая тексты в комментариях ниже, вы автоматически соглашаетесь с пользовательским соглашением