Упр.244 ГДЗ Мерзляк 9 класс (Алгебра)
Решение #1
Решение #2

Рассмотрим вариант решения задания из учебника Мерзляк, Полонская, Якир 9 класс, Вентана-Граф:
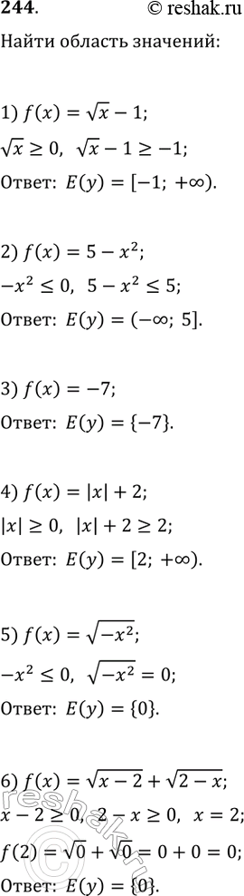
244. Найдите область значений функции:
1) f(x) = корень(х) - 1;
2) f(х) = 5 - х^2;
3) f(х) = -7;
4) f(x) = |х| + 2;
5) f(х) = корень(-х^2);
6) f(х) = корень(x - 2) + корень(2 - х).
*размещая тексты в комментариях ниже, вы автоматически соглашаетесь с пользовательским соглашением