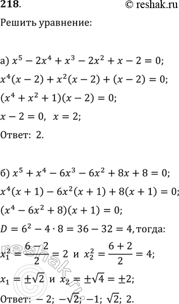
Упр.218 ГДЗ Макарычев Миндюк 9 класс (Углубленный) (Алгебра)
Решение #1

Рассмотрим вариант решения задания из учебника Макарычев, Миндюк, Нешков 9 класс, Просвещение:
218. Решите уравнение, используя разложение на множители:
а) x^5-2x^4+x^3-2x^2+x-2=0; в) x^5-3x^3+x^2-3=0;
б) x^5+x^4-6x^3-6x^2+8x+8=0; г) 2x^5-x^3+2x^2-1=0.
*размещая тексты в комментариях ниже, вы автоматически соглашаетесь с пользовательским соглашением