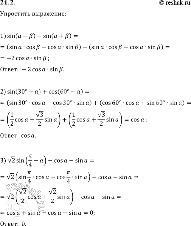
Упр.21.2 ГДЗ Мерзляк 10 класс Базовый уровень (Алгебра)
Решение #1

Рассмотрим вариант решения задания из учебника Мерзляк, Номировский, Полонский 10 класс, Вентана-Граф:
21.2. Упростите выражение:
1) sin(a-?)-sin(a+?); 3) v2sin(?/4+a)-cos(a)-sin(a).
2) sin(30°-a)+cos(60°-a);
*размещая тексты в комментариях ниже, вы автоматически соглашаетесь с пользовательским соглашением