Упр.2.18 ГДЗ Никольский Потапов 11 класс (Алгебра)
Решение #1
Решение #2

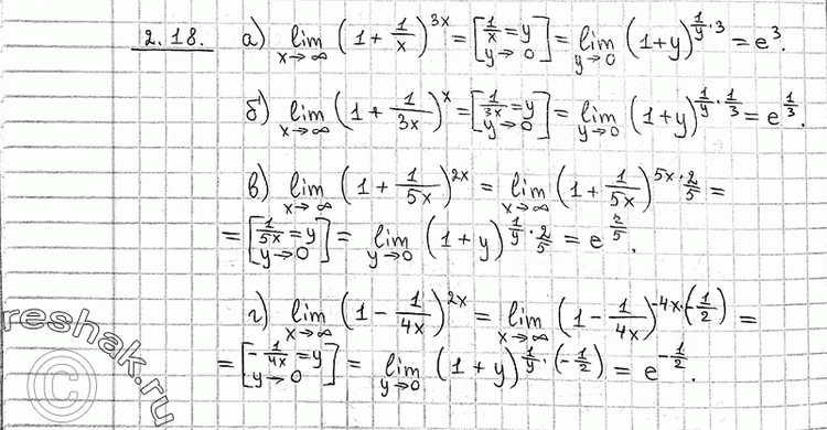
Рассмотрим вариант решения задания из учебника Никольский, Потапов 11 класс, Просвещение:
2.18 а) lim x-> бесконечность (1+1/x)3x;
б) lim x-> бесконечность (1+1/3x)x;
в) lim x-> бесконечность (1+1/5x)2x;
г) lim x-> бесконечность (1-1/4x)2x.
*размещая тексты в комментариях ниже, вы автоматически соглашаетесь с пользовательским соглашением