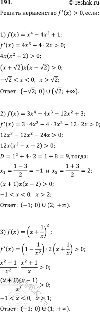
Упр.191 ГДЗ Колягин Ткачёва 11 класс (Алгебра)
Решение #1
Решение #2

Рассмотрим вариант решения задания из учебника Колягин, Ткачёва, Фёдорова 11 класс, Просвещение:
191. Решить неравенство f'(x) > 0, если:
1) f(x) = x4-4x2+ 1;
2) f(x) = 3x4 - 4x3 - 12x2 + 3;
3) f(x) = (x + 1/x) ;
4) f(x)= x3+16/x;
5) f(x) = (x + 2)2 корень x;
6) f(x) = (x- 3) корень x.
*размещая тексты в комментариях ниже, вы автоматически соглашаетесь с пользовательским соглашением