Упр.179 ГДЗ Колягин Ткачёва 8 класс (Алгебра)
Решение #1

Рассмотрим вариант решения задания из учебника Колягин, Ткачёва, Фёдорова 8 класс, Просвещение:
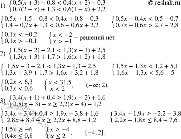
179. Решить систему неравенств:
1) {(0,5(x+3)-0,8<0,4(x+2)-0,3
0,7(2-x)+1,3<0,6(1-x)+2,2)+
2) {(1,5(x-2)-2,1<1,3(x-1)+2,5
1,3(x+3)+1,7>1,6(x+2)+1,8)+
3) {(3,4(x+1)+0,4?1,9(x-2)+1,6
2,8(x+3)-x?2,2(x+4)-1,2)+
*размещая тексты в комментариях ниже, вы автоматически соглашаетесь с пользовательским соглашением