Упр.174 ГДЗ Мерзляк Полонский 7 класс (Алгебра)
Решение #1
Решение #2

Рассмотрим вариант решения задания из учебника Мерзляк, Полонская, Якир 7 класс, Вентана-Граф:
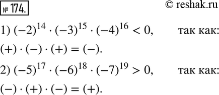
174. Сравните с нулём значение выражения:
1) (-2)14 * (-3)15 * (-4)16;
2) (-5)17 * (-6)18 * (-7)19.
*размещая тексты в комментариях ниже, вы автоматически соглашаетесь с пользовательским соглашением