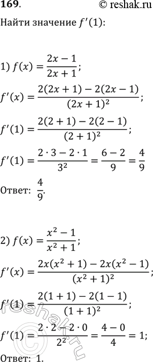
Упр.169 ГДЗ Колягин Ткачёва 11 класс (Алгебра)
Решение #1
Решение #2

Рассмотрим вариант решения задания из учебника Колягин, Ткачёва, Фёдорова 11 класс, Просвещение:
169 1) f(x) = 2x-1/2x+1;
2) f(x) = x2-1/x2+1;
3) f(x) = 2x-3/5-4x;
4) f(x)= 2x2/1-7x.
*размещая тексты в комментариях ниже, вы автоматически соглашаетесь с пользовательским соглашением