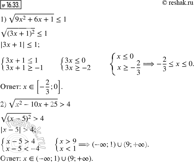
Упр.16.33 ГДЗ Мерзляк Поляков 8 класс (Алгебра)
Решение #1

Рассмотрим вариант решения задания из учебника Мерзляк, Поляков 8 класс, Вентана-Граф:
16.33. Решите неравенство:
1) v(9x^2+6x+1)?1; 2) v(x^2-10x+25)>4.
*размещая тексты в комментариях ниже, вы автоматически соглашаетесь с пользовательским соглашением