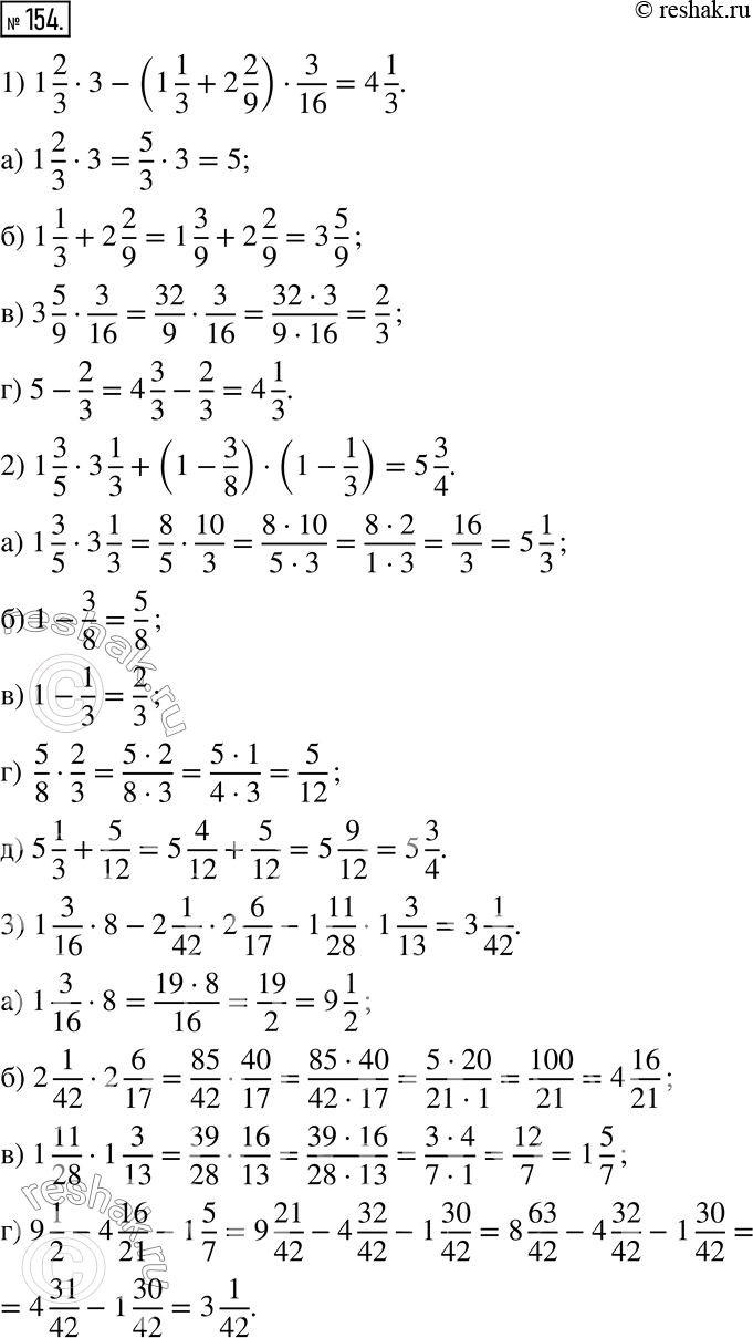
Упр.154 Рабочая тетрадь №1 ГДЗ Мерзляк Полонский 6 класс (Математика)
Решение #1

Рассмотрим вариант решения задания из учебника Мерзляк, Полонский, Якир 6 класс, Вентана-Граф:
154. Найдите значение выражения.
1) 1 2/3 · 3 - (1 1/3 + 2 2/9) · 3/16;
2) 1 3/5 · 3 1/3 + (1 - 3/8) · (1 - 1/3);
3) 1 3/16 · 8 - 2 1/42 · 2 6/17 - 1 11/28 · 1 3/13.
*размещая тексты в комментариях ниже, вы автоматически соглашаетесь с пользовательским соглашением