Упр.146 ГДЗ Мерзляк 8 класс (Алгебра)

Решение #1

Изображение Упр.146 ГДЗ Мерзляк 8 класс

Решение #2

Изображение Упр.146 ГДЗ Мерзляк 8 класс
Дополнительное изображение

Решение #3

Изображение Упр.146 ГДЗ Мерзляк 8 класс
Загрузка...

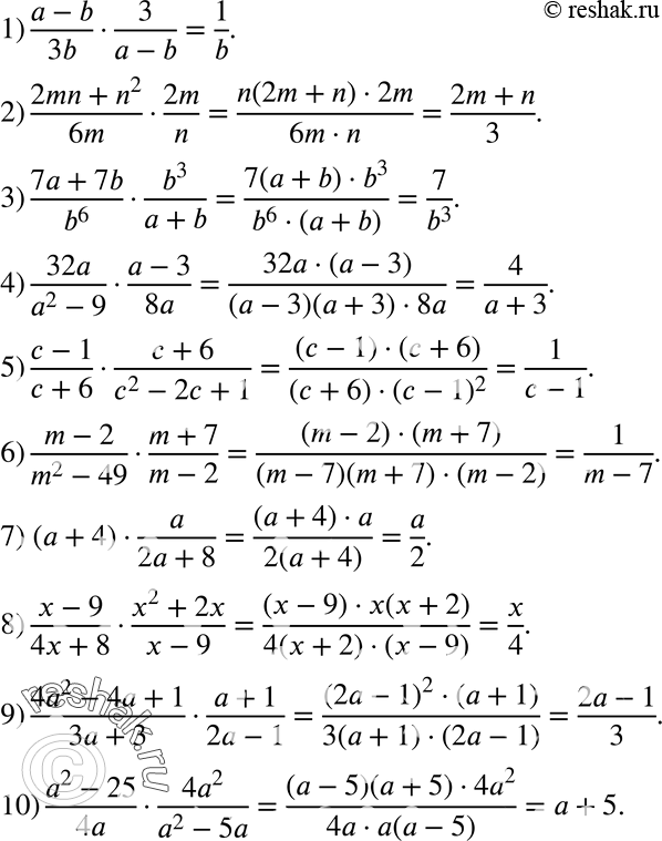
Рассмотрим вариант решения задания из учебника Мерзляк, Полонская, Якир 8 класс, Вентана-Граф:
146. Упростите выражение:
1) (a-b)/3b * 3/(a-b);
2) (2mn+n2)/6m * 2m/n;
*Цитирирование задания со ссылкой на учебник производится исключительно в учебных целях для лучшего понимания разбора решения задания.
*размещая тексты в комментариях ниже, вы автоматически соглашаетесь с пользовательским соглашением