Упр.138 ГДЗ Мерзляк Полонский 7 класс (Алгебра)
Решение #1
Решение #2

Рассмотрим вариант решения задания из учебника Мерзляк, Полонская, Якир 7 класс, Вентана-Граф:
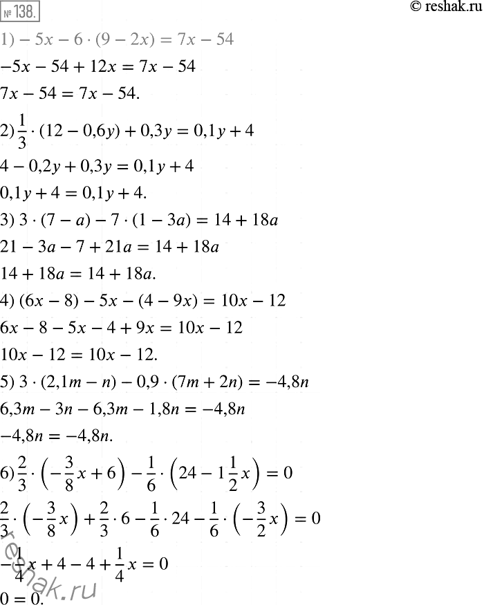
138. Докажите тождество:
1) -5х - 6(9 - 2х) — 7х— 54;
2) 1/3(12 - 0,6у) + 0,3у = 0,1 у + 4;
3) 3(7 - а) - 7(1 - 3а) = 14 + 18а;
4) (6х - 8) - 5х - (4 - 9x) = 10х - 12;
5) 3(2,1m - n) - 0,9(7m + 2n) = -4,8n;
6) 2/3(-3/8*x+6)-1/6(24-1*1/2*x)=0.
*размещая тексты в комментариях ниже, вы автоматически соглашаетесь с пользовательским соглашением