Упр.1277 ГДЗ Макарычев Миндюк 9 класс (Углубленный) (Алгебра)
Решение #1

Рассмотрим вариант решения задания из учебника Макарычев, Миндюк, Нешков 9 класс, Просвещение:
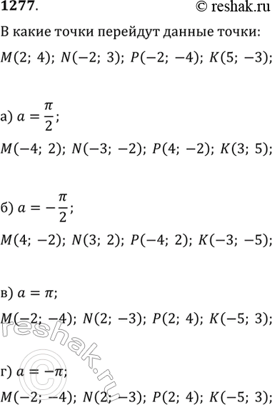
1277. В координатной плоскости отмечены точки M(2; 4), N(—2; 3), P(-2; -4) и K(5; -3). В какие точки они перейдут при повороте координатной плоскости около точки О на угол ?, если:
а) ?=?/2; в) ?=?;
б) ?=-?/2; г) ?=-??
*размещая тексты в комментариях ниже, вы автоматически соглашаетесь с пользовательским соглашением