Упр.10.12 ГДЗ Мерзляк Поляков 8 класс (Алгебра)
Решение #1

Рассмотрим вариант решения задания из учебника Мерзляк, Поляков 8 класс, Вентана-Граф:
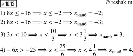
10.12. Найдите наибольшее целое решение неравенства:
1) 8x?-16; 2) 8x<-16; 3) 3x<10; 4)-6x>-25.
*размещая тексты в комментариях ниже, вы автоматически соглашаетесь с пользовательским соглашением